PROCEDIMIENTO ENTRENAMIENTO, CAPACITACIÓN Y FORMACION

1. OBJETIVO
Este procedimiento tiene por objeto establecer los métodos para la identificación de las necesidades de capacitación, formación y/o entrenamiento de los trabajadores de la empresa con el propósito de promover el desarrollo del recurso humano y mejorar la administración de los riesgos existentes de la organización.
2. ALCANCE
Aplica para todo el personal de la empresa, inicia desde la detección de la necesidad de capacitación, formación y/o entrenamiento, la ejecución y desarrollo de las mismas hasta la aplicación de la evaluación de la eficacia y su debido seguimiento de acuerdo al plan de acción.
3. VEAMOS ALGUNAS DEFINICIONES
Experiencia: Destreza que se adquiere con la práctica.
Competencia: Habilidad demostrada para aplicar conocimientos y aptitudes.
Habilidad: Facilidad o destreza que se desarrolla a través del entrenamiento o experiencia.
Desarrollo de competencia: Es el proceso para suministrar y desarrollar conocimientos, habilidades, comportamientos y aptitudes para cumplir los requisitos.
Perfil del cargo: Referencia la competencia del personal con base en la educación, formación, habilidades y experiencias aplicadas.
Inducción: Proceso de capacitación y educación que se le da al empleado, antes de ingresar a laborar en la empresa por primera vez, cuyo fin es de acondicionarlo, sensibilizarlo y motivarlo en los temas de Seguridad, Salud Ocupacional, Ambiente y Calidad, para lograr así una mejor adaptación y una mayor responsabilidad en este campo.
Re inducción: El un proceso de capacitación que se realiza y tiene como objetivo el de recordar y refrescar los conocimientos dados en la inducción inicial a los empleados antiguos.
Entrenamiento (Habilidades y Destrezas / Hacer): Tipo de Entrenamiento de carácter práctico destinado a mejorar las habilidades requeridas para la ejecución de actividades de las funciones del cargo o puesto de trabajo. Hace énfasis en el “hacer” y está asociado a las características psicomotrices.
Capacitación (Conocimiento / Saber): Tipo de entrenamiento de carácter teórico mediante el cual se imparten conocimientos e ideas para la ejecución de las actividades de las funciones del cargo o puesto de trabajo. Hace énfasis en el saber y está asociado a las características cognoscitivas.
Formación (Actitudes y Valores / Ser): Tipo de entrenamiento que se orienta a la creación de valores y actitudes para permitir a las personas interrelacionarse dentro del marco socio-laboral y mejorar el ambiente de trabajo (ambiente laboral). Hace énfasis en el “ser”.
4. CONDICIONES GENERALES

El entrenamiento es un proceso educacional a corto plazo que se debe aplicar de manera sistemática y organizada, a la persona que aprenderá conocimientos, aptitudes y habilidades en función de unos objetivos definidos. Este entrenamiento implica la transmisión de conocimiento específicos relativos al trabajo, a las actividades frente a aspectos de la empresa, a las tareas, al ambiente y al desarrollo de habilidades para el buen desempeño del cargo.
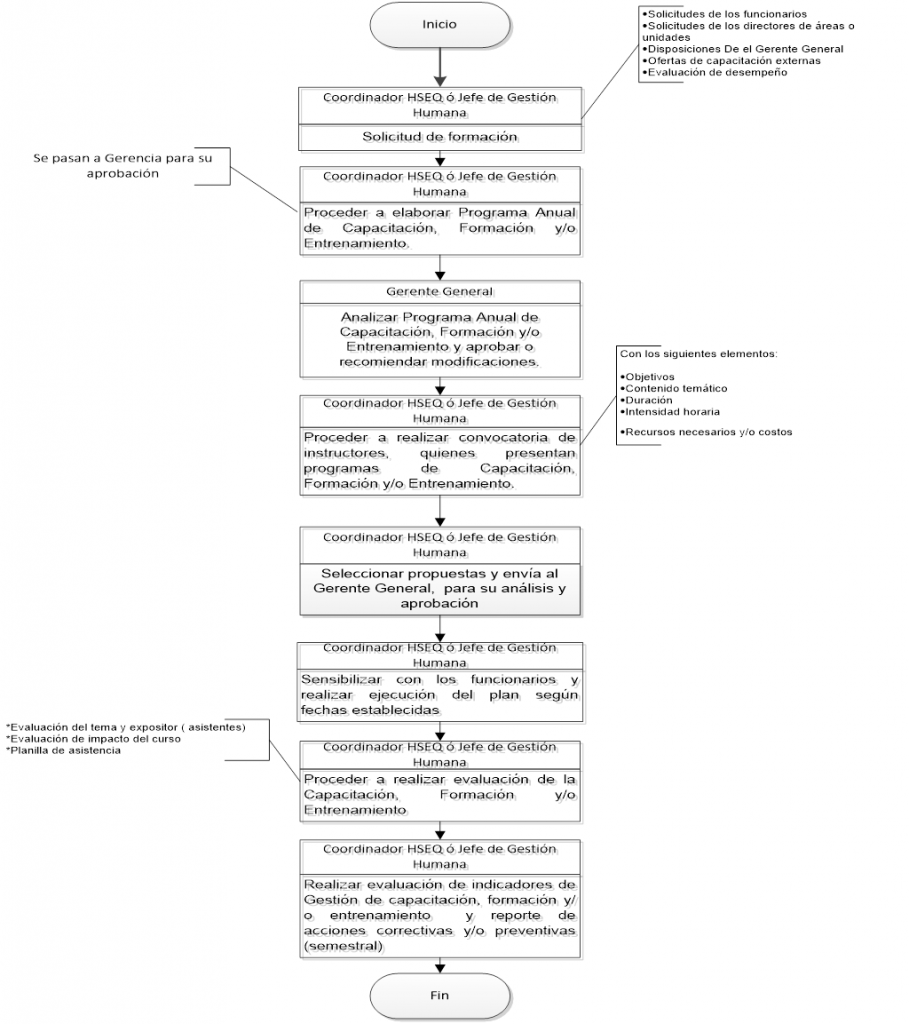
1 DESCRIPCIÓN DE ACTIVIDADES
a. Identificar necesidades de capacitación y/ formación
Identificar las necesidades de capacitación, formación y/o entrenamiento del personal teniendo en cuenta criterios tales como:
- Resultados de la identificación de peligros, evaluación y control de riesgos.
- Programas de gestión de riesgos
- Programas de vigilancia epidemilógica
- Resultados de revisiones por la gerencia, inspecciones programadas y no programadas.
- El Gerente General, El Coordinador HSEQ, Jefe de Gestión Humana definen las necesidades basadas en el desempeño del empleado y los objetivos de la empresa según el registro de “Evaluación del Desempeño”.
- Resultados de auditorías internas e indicadores de gestión.
- Normas reguladoras.
- Inquietudes o reclamos de clientes, trabajadores y contratistas.
- Actualización de tecnología.
b. Análisis de la Información
Después de recopilar y analizar la información anteriormente citada; se definirá y priorizará las necesidades de Capacitación, Formación y/o Entrenamiento internas o externas del personal y sus responsables de ejecutarla.
2 ELABORACIÓN DE PROGRAMA CAPACITACIÓN, FORMACIÓN Y/O ENTRENAMIENTO
Posteriormente se elaborará anualmente el “Programa de Capacitación, Formación y/o Entrenamiento”. El Gerente General aprueba el programa con su firma y se ajustará cuando existan cambios o acciones de mejora para el sistema.
3 EJECUTAR EL PROGRAMA
El Coordinador o responsable del sistema de gestión será el responsable de ejecutar el “Programa de Capacitación, Formación y/o Entrenamiento”.
A si mismo publicará por los canales de comunicación establecidos por la organización información relacionada con los temas tratados en las capacitaciones.
NOTA. Para la realización de las capacitaciones programadas, la empresa contará con el apoyo de entidades como la ARL, EPS y de personal competente en el área.
Continúa leyendo: 8 claves de éxito para el programa de formación
4. EVALUACIÒN DE LA EFICACIA DE LA CAPACITACIÓN, FORMACIÓN Y/O ENTRENAMIENTO
Se registran los asistentes y se analiza la eficacia de la capacitación, formación y/o entrenamiento una vez brindada, para medir dicha eficacia, se establece el(los) objetivo(s) que se busca alcanzar con la capacitación y/o formación, se establece una herramienta dependiendo del objetivo trazado con la que se medirá si se cumple o no el objetivo, la cual consiste en medición de indicadores, seguimientos, implementación de proyectos, etc., y se define la fecha en que se debe medir la eficacia de la misma.
Cuando llega la fecha definida, el funcionario encargado evalúa la eficacia de la capacitación y registra los resultados obtenidos, indicando si es o no efectiva.
Es importante tener en cuenta que la eficacia de las capacitaciones no se pueden medir siempre de la misma forma, hay cualitativas y cuantitativas.
De forma continuada se brinda formación en temas relacionados con el sistema de gestión para asegurarse del mantenimiento del mismo.
Una vez evaluada la eficacia de la capacitación, formación y/o entrenamiento y de acuerdo con los resultados se registrará un plan de acción de acuerdo a la siguiente tabla de valores:

5 SEGUIMIENTO
- Actualizar el programa cada vez que se presenten cambios en la organización o proyecto, o aparezcan condiciones potenciales de emergencia.
- Hallazgos encontrados en auditorías internas y/o externas.
- Establecer plan de acción para corregir aquellas No conformidades encontradas.
- Hacer seguimiento al plan de acción
6 RESPONSABILIDADES
Gerente General
- Asignar los recursos para la realización de las actividades correspondientes al entrenamiento, concientización y desarrollo de competencia.
- Realizar control y seguimiento a la implementación de este procedimiento.
El Coordinador, responsable del sistema de gestión ó Jefe de Gestión Humana
Participar en el desarrollo de las actividades relacionadas con este procedimiento.
- Mantener la información actualizada de los registros correspondientes.
- Divulgar la información recopilada a los trabajadores involucrados en cada una de las áreas de la empresa.
- Realizar control y seguimiento a la implementación de este procedimiento.
Todo el Personal propio y contratista.
- Participar activamente en las actividades de capacitación, formación y/o entrenamiento.
Conoce el Procedimiento de elementos de protección personal.
5. PROCEDIMIENTO



DESCUBRE MAS AQUÍ:
No sabes cómo empezar a gestionar tu MATRIZ DE RIESGOS?
No te preocupes en ATCAL SAS contamos con los mejores profesionales y especialistas en SST, quienes te acompañan en la elaboración de la matriz, totalmente ajustada a las condiciones reales de tu empresa.





